Chemical EngineeringChemical Engineering Lab →List Of Experiments

Vapour Liquid Equilibrium

 

Vapour-liquid equilibrium data are the basic information of the system required for the design of equilibrium stages of a vapour-liquid separation equipment like distillation. Equilibrium data represent the composition of the mixture in the vapour phase (Y) and that in the corresponding equilibrium liquid phase (X) at equilibrium. The compositions are presented in mole fractions of the more volatile component (A). Equilibrium compositions are functions of temperature and pressure. Therefore the data are reported under isothermal or isobaric conditions. However, isobaric data are required more often because industrial separations are carried out at constant pressure.

 

1. The vapour-liquid equilibrium data are presented as equilibrium compositions:

 

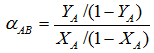
2. Relative Volatility:

 

3. The Gibb's-Duhem equation for the binary system for checking thermodynamic consistency of the data by the integral test:

 

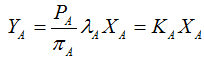
4. The Van Laar equations are

 

Many systems form an azeotrope where the equilibrium vapour and liquid compositions are the same i.e. YA = XA